1
/
of
1
SKU:8415750050
In stock
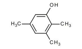
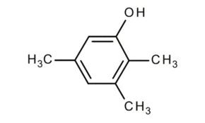
2,3,5-TRIMETHYLPHENOL
2,3,5-TRIMETHYLPHENOL
Pack size: 50G, please inquire for leadtime
Regular price
£60.50 GBP
Regular price
Sale price
£60.50 GBP
Unit price
/
per
Couldn't load pickup availability
Share
