1
/
of
1
SKU:EKT537
In stock
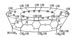
carboxy methyl b-cyclodextrin 5g, Ionic Modified CD
carboxy methyl b-cyclodextrin 5g, Ionic Modified CD
Pack size: 5g, please inquire for leadtime
Regular price
£135.56 GBP
Regular price
Sale price
£135.56 GBP
Unit price
/
per
Couldn't load pickup availability
Share
