1
/
of
1
SKU:EKT539
In stock
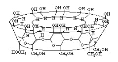
mono amino b-cyclodextrin, 5g, Ionic Modified CD
mono amino b-cyclodextrin, 5g, Ionic Modified CD
Pack size: 5g, please inquire for leadtime
Regular price
£3,084.44 GBP
Regular price
Sale price
£3,084.44 GBP
Unit price
/
per
Couldn't load pickup availability
Share
