1
/
of
1
SKU:CYE10041
In stock
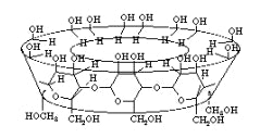
Randomly methylated a-cyclodextrin (DS ~11) RAMEA, Water-soluble neutral Cyclodextrin CE GRADE
Randomly methylated a-cyclodextrin (DS ~11) RAMEA, Water-soluble neutral Cyclodextrin CE GRADE
Pack size: 1g, please inquire for leadtime
Regular price
£216.67 GBP
Regular price
Sale price
£216.67 GBP
Unit price
/
per
Couldn't load pickup availability
Share
