1
/
of
1
SKU:CYE3009
In stock
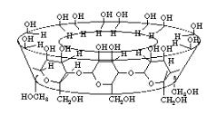
Soluble g-cyclodextrin polymer CD PSG, Water soluble cyclodextrin
Soluble g-cyclodextrin polymer CD PSG, Water soluble cyclodextrin
Pack size: 1g, please inquire for leadtime
Regular price
£143.34 GBP
Regular price
Sale price
£143.34 GBP
Unit price
/
per
Couldn't load pickup availability
Share
