1
/
of
1
SKU:CYE3033
In stock
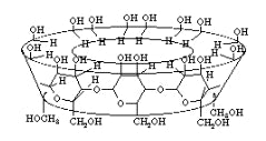
Succinyl-(2-hydroxy)propyl-g-cyclodextrin SuHPG CD
Succinyl-(2-hydroxy)propyl-g-cyclodextrin SuHPG CD
Pack size: 1g, please inquire for leadtime
Regular price
£423.34 GBP
Regular price
Sale price
£423.34 GBP
Unit price
/
per
Couldn't load pickup availability
Share
