1
/
of
1
SKU:CYE1046
In stock
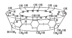
Sulfated-a-cyclodextrin soluble polymer* SCDPSA, Water soluble cyclodextrin
Sulfated-a-cyclodextrin soluble polymer* SCDPSA, Water soluble cyclodextrin
Pack size: 1g, please inquire for leadtime
Regular price
£537.78 GBP
Regular price
Sale price
£537.78 GBP
Unit price
/
per
Couldn't load pickup availability
Share
